产品中心

  • 产品中心
  • 技术服务
  • 解决方案
Technological Service
支原体检测
Introduction

服务介绍

image

在生物制品,特别是细胞与基因治疗领域,为满足产品快速放行,多采用核酸扩增技术(Nucleic Acid Amplification Testing, NAT)这一快速检测方法替代传统的支原体检测“金标准”(培养法)。多国药典(如USP、EP、ChP等)均提出替代方法在正式使用前,必须通过系统性验证和可比性研究,以证明其性能等同于或优于传统方法。

支原体NAT替代的核心是对两种方法(NAT法与传统培养法/指示细胞法)进行并行测试,使用涵盖常见污染菌种的标准品,评估并证明新方法在特异性、灵敏度和准确性等关键性能参数上,与传统方法具有可比性。

支原体NAT验证

目前各国药典对支原体NAT方法验证内容规定基本保持一致,主要包括特异性/专属性(Specificity)、检测限(Detection Limit,LOD)和耐用性(Robustness)验证。如使用MycoSHENTEK支原体检测试剂盒进行检测,则可采用完整试剂盒性能验证报告,再补充实际样品方法适用性验证以形成完整的方法学验证。

支原体检测方法要求

支原体可比性研究

可比性评估应包含NAT检测法与药典检测法的LOD对比: 以NAT法代替培养法,需证实对不同菌株的检测限达到≤10 CFU/mL;以NAT法代替指示细胞培养法,检测限必须达到≤100 CFU/mL。在这两种情况下,采用NAT法的检测和采用传统方法的检测必须同时进行,以便用相同样本(CFU可比性)对其LOD进行同步评估。

支原体检测方法要求
药典 培养法 指示细胞培养法 NAT法

ChP

<3301>

肺炎支原体(ATCC 15531株)

口腔支原体(ATCC 23714株)

阳性的供试品标准菌株

/

EP

<2.6.7>

Acholeplasma laidlawii(ATCC23206)(生产过程中使用过抗生素的人类和兽医用疫苗)

Mycoplasma gallisepticum(ATCC 19610)(生产过程中使用禽类材料)

Mycoplasma hyorhinis(ATCC 17981)(非禽类兽医疫苗)

Mycoplasma orale(ATCC 23714)(人和兽医用疫苗)

Mycoplasma pneumoniae(ATCC 15531)/Mycoplasm a fermentans(ATCC19989)(供人类使用的疫苗)

Mycoplasma synoviae(ATCC25204)(在生产过程中使用过禽类材料或疫苗打算用于家禽)

Mycoplasma hyorhinis(ATCC29052)

Mycoplasma orale(ATCC 23714)

Acholeplasma laidlawii

Mycoplasma fermentans

Mycoplasma orale

Mycoplasma pneumoniae/Mycoplasma gallisepticum

Mycoplasma synoviae(在生产过程中使用或接触过禽类材料)

Mycoplasma arginini

Spiroplasma citri(生产过程中使用或接触昆虫或植物物质)

JP

<G3-14-170>

Mycoplasma pneumoniae(ATCC 15531,或等效菌株)

Mycoplasma orale(ATCC23714,或等效菌株)

Mycoplasma hyorhinis(ATCC 29052,ATCC17981,或等效菌株)

Mycoplasma orale(ATCC23714,或等效菌株)

Acholeplasma laidlawii(ATCC23206,或等效菌株)

Mycoplasma arginini(ATCC 23838,或等效菌株)

Mycoplasma fermentans(ATCC 19989或等效菌株)

Mycoplasma hyorhinis(ATCC 17981,或等效菌株)

Mycoplasma orale(ATCC 23714,或等效菌株)

Mycoplasma pneumoniae(ATCC 15531,或等效菌株)

Mycoplasma salivarium(ATCC 23064,或等效菌株)

USP

<77>

Acholeplasma laidlawii(ATCC23206)(生产过程中使用过抗生素的人类和兽医用疫苗)

Mycoplasma gallisepticum(ATCC 19610)(生产过程中使用禽类材料)

Mycoplasma hyorhinis(ATCC 17981)(非禽类兽医疫苗)

Mycoplasma orale(ATCC 23714)(人和兽医用疫苗)

Mycoplasma pneumoniae(ATCC 15531)/Mycoplasm a fermentans(ATCC19989)(供人类使用的疫苗)

Mycoplasma synoviae(ATCC25204)(在生产过程中使用过禽类材料或疫苗打算用于家禽)

合适的菌株

Mycoplasma orale(ATCC 23714)

Mycoplasma hyorhinis(ATCC 17981)

Mycoplasma pneumoniae(ATCC 15531)

Mycoplasma fermentans(ATCC 19989)

Acholeplasma laidlawi(ATCC23206)

Mycoplasma arginini(ATCC 25528)

Mycoplasma synoviae(ATCC 25204)

Mycoplasma gallisepticum(ATCC 19610)

Spiroplasma citri(ATCC 27556)

Advantage

服务优势

Experience

项目经验

序号 客户背景 委托背景
1 全球化Biotech/CAR-T 龙头 上市后变更
2 国内Biotech/双靶点CAR-T先锋 新国家/地区产品申报方法补充
3 创新药企,多管线CAR-T 进入临床 BLA申报
4 中美两地运营的细胞治疗企业 BLA申报
5 专注实体瘤TIL疗法的Biotech BLA申报
6 专注自体/异体CAR-NK平台 BLA申报
7 基因编辑与异体CAR-T双平台 BLA申报
Contact

如您想了解更多服务方案,可通过以下联系方式找到我们。

  • image
    张女士
  • image
    lie_only@shenkebio.com
  • image
    0371 - 88372661
Typical Case

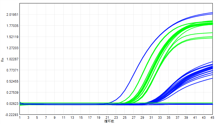
典型案例

项目背景
CAR-T产品,已上市产品国内BLA方法变更
问题核心
采用NAT方法(MycoSHENTEK®支原体DNA检测试剂盒)替代药典法
验证结果
经方法验证及可比性研究,NAT方法在特异性、检测限、耐用性、可比性方面均达到法规要求
助力申报
验证方案及报告获监管认可,并完成复核检,顺利完成已上市产品的方法变更
image
阴性对照荧光显微镜观察结果(放大倍数:x400 倍)
image
阳性对照(猪鼻支原体)荧光显微镜观察结果(放大倍数:x400倍)
image
循环数